发票
您可以在 财务 > 发票 模块完成以下工作:
- 搜索和筛选发票
- 下载发票
- 在发票列表下载
- 在发票详情页下载
查看发票
Antom 会在次月月初开具本月的发票。进入 财务 > 发票 页面,发票生成的具体日期显示在左上角。

筛选发票列表
您可以使用 开票日期、交易自然月、状态 和 币种 等筛选器对发票列表进行筛选。所筛选的日期范围最多可支持 180 天的时间跨度。
您也可以对筛选配置进行以下操作:
- 添加更多筛选条件:点击 更多筛选条件 可自定义筛选区域的选项,已添加的选项会展示在默认选项后面。

- 重置筛选项:在配置了筛选设置后,点击 全部重置 可重置回默认选项。

自定义发票列表字段
在发票列表的右上方,点击 默认设置 可设置列表的间隔状态和展示字段,已勾选的字段会展示在列表表头。同时,拖动字段可改变字段在列表的展示位置。

查看发票详情页面
在 发票 页面的列表中点击任一条发票记录即可进入发票详情页。您可以在此页面查看发票的基本信息、概览和费用明细。
在 费用明细 区域,点击左边不同的费用色块,右边会显示相应费用的详情。

下载发票
您可以通过以下两种途径下载发票:
- 在发票列表下载
- 在发票详情页下载
从发票列表下载
在发票列表页面,您可以根据实际需要选择以下形式导出发票列表数据,注意只能导出状态为已开票的发票:
- 导出单张发票:在任一发票,点击列表右侧的 下载 CSV 或 下载 PDF 按钮即可完成下载。

- 导出多个发票:在发票列表选定多项后,点击页面下方的 .csv 或者 .pdf 下载图标即可下载对应格式的发票。

- 导出概览报告:在发票列表右上方点击 导出。在 下载概览报告 的弹窗页面中,选择发票下载的版本格式以及默认或自定义发票文件的标题行,并点击 下载 即可完成导出。

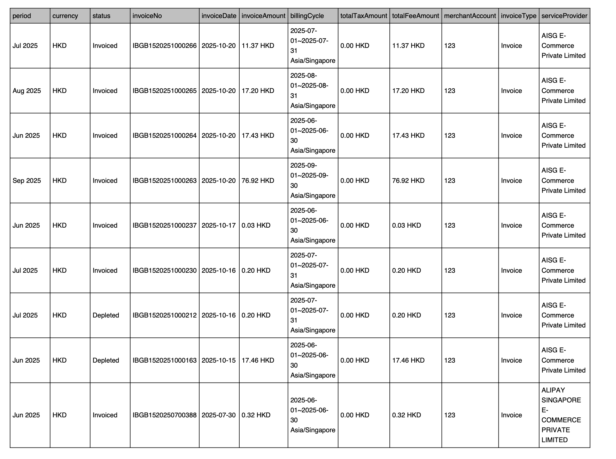
以下为下载报告示例:
导出概览报告
导出单个/多个发票
从发票详情页下载
在 发票 页面,点击发票列表中的任一发票项即可进入发票详情页面。您可以根据实际需要选择以下形式进行导出发票信息:
- 导出单张发票:在发票详情页面,点击 导出 > CSV 发票/PDF 发票 即可导出不同格式的发票。注意此处的导出信息与导出单张发票一致。

- 导出发票详情:在发票详情页面,点击 导出 > 发票详细信息 后会出现 导出详细信息 弹窗。点击 查看下载 可查看报告导出进度。
|
|
- 查看发票明细下载:您也可以点击 导出 > 查看发票明细下载 查看报告导出进度。

导出完成后,在 发票详细信息下载历史记录 弹窗选择想要导出的记录,点击下载图标即可下载发票详情报告。发票详情报告的示例如下:
|
|



